Add data for Aqara T2 GU10 CCT #3540
Merged
Add this suggestion to a batch that can be applied as a single commit.
This suggestion is invalid because no changes were made to the code.
Suggestions cannot be applied while the pull request is closed.
Suggestions cannot be applied while viewing a subset of changes.
Only one suggestion per line can be applied in a batch.
Add this suggestion to a batch that can be applied as a single commit.
Applying suggestions on deleted lines is not supported.
You must change the existing code in this line in order to create a valid suggestion.
Outdated suggestions cannot be applied.
This suggestion has been applied or marked resolved.
Suggestions cannot be applied from pending reviews.
Suggestions cannot be applied on multi-line comments.
Suggestions cannot be applied while the pull request is queued to merge.
Suggestion cannot be applied right now. Please check back later.

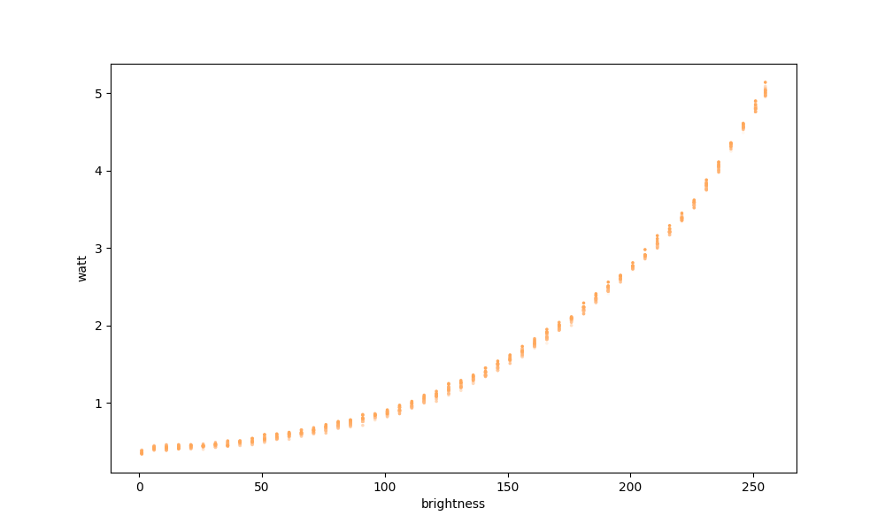
Device information
Aqara LED Bulb T2(GU10, CCT) (Color: White, SKU: AL230GLW02, model: LB-L03E, 4.9 W, 100-240 V, 50/60 Hz, 450 lm @ 2700K, CRI: 90, beam angle: 50°)
https://eu.aqara.com/en-eu/products/aqara-led-bulb-t2-gu10?variant=44768490946759
Home Assistant Device information
lumi.light.agl006
von Aqara
Verbunden über SMLIGHT SLZB-07
Firmware: 0x0000001e
Checklist
Additional info