-
Notifications
You must be signed in to change notification settings - Fork 330
Adding Wiz WIZ294819 downlight #3583
New issue
Have a question about this project? Sign up for a free GitHub account to open an issue and contact its maintainers and the community.
By clicking “Sign up for GitHub”, you agree to our terms of service and privacy statement. We’ll occasionally send you account related emails.
Already on GitHub? Sign in to your account
Conversation
for more information, see https://pre-commit.ci
|
Thank you. Congrats on your first contribution. Measurements look nice! Few remarks. You'll need to add I see standby_power is 0. That's not possible, and it's 0 because it's below the threshold which Shelly 2.5 can measure. |
|
No problem - alias added. That makes sense! Agreed about the standby power, however I don't have the means to measure the standby power without using the shelly. Reading the shelly directly reports 0W, must be below what it can measure - even with four lights on the circuit. |
|
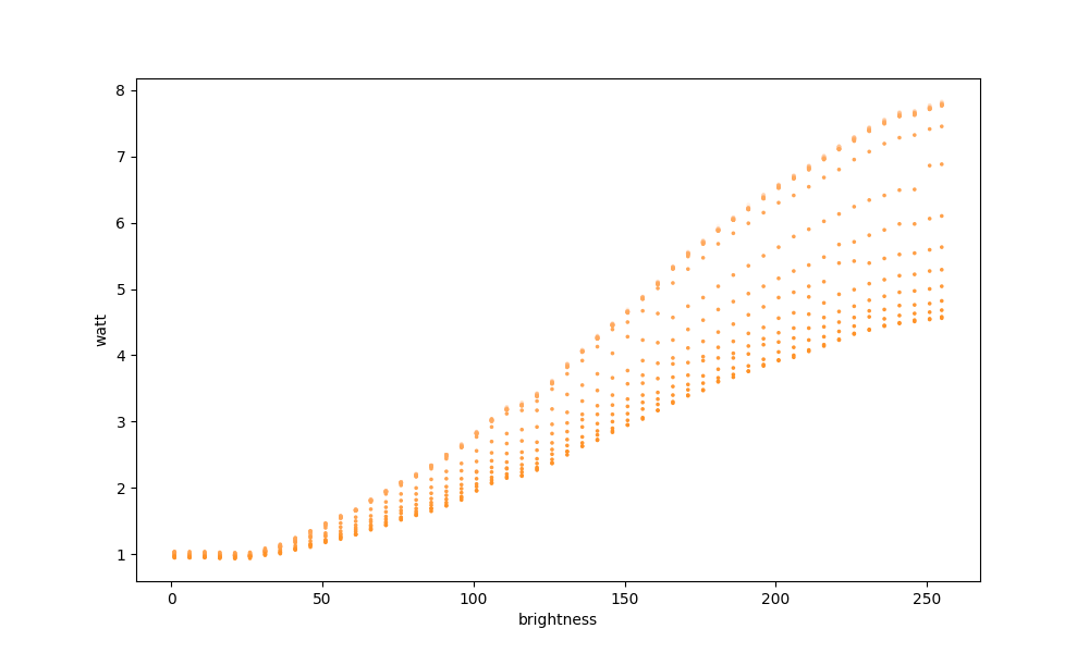
My guess is that it must be around 0.2W - I've seen the shelly measure ~1W during the test, so it must be under 1/4W. I tried turning three of the lights on full brightness at 153 mireds. From our readings, we expect this to be 7.81W. The fourth was off. The Shelly reported 23.96W, so the difference must be the standby of the fourth light: However this number is much higher than we'd expect. I suspect there is large enough error in the readings that an estimate of 0.2W is probably within reasonable limits. |



Device information
The Wiz WIZ294819 Presco 3.5 inch recessed downlight 8W is sold in New Zealand and fits a standard 90mm cutout. It reports to Home Assistant as SHRGB, however this model is already used by completely different lights, so I used the model number WIZ294819 instead.
https://www.wizconnected.com/en-nz/p/downlight-35-inch-recessed-downlight-8w/8720169072251
https://www.noelleeming.co.nz/p/wiz-full-colour-preso-downlight-8w-3.5-inch/N224211.html
https://www.jbhifi.co.nz/products/wiz-preso-smart-downlight
Home Assistant Device information
SHRGB
by WiZ
Firmware: 1.35.0
Hardware: ESP24 01
MAC: 44:4F:8E:F1:CD:2C
Checklist
Additional info
Measured color_temp and hs with 4x bulbs via the measurement script and a Shelly 2.5.