UPDATE 02/2022 I've developed a model which estimates the home range through the MCP in QGIS Home Range MCP
The model created with the Graphical Model Builder in QGIS 3.16 allows to calculate the home range for a given level of density (typically 50% and 95%) through Kernel Density Estimation. Kernel Density is based on the Silverman's rule of Thumb for search radius estimantion (unweighted distance),
where:
- Dm is the median distance from mean center of the points.
- n is the number of points.
- SD is the standard distance.
The min part of the equation means that which ever of the two options that results in a smaller value will be used.
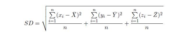
The standard distance is computed as:
where:
- x i , y i and z i are the coordinates for feature i
- {x̄, ȳ, z̄} represents the mean center for the features (if the coordinate z is present)
- n is equal to the total number of features.
- Point data source: a point layer file. Please note that for a correct calculation of the home range, point locations must be in a projected reference system (i.e. UTM).
- Cell size: the dimension of the home range raster output. The cell size should be selected according to the extent of the study area, the amount of information, etc.
- % of KDE: percentage for home-range size estimation (typically 95 and 50).
- Smooth parameters: the parameters to be used for the vectorization of the result (see smooth).
The model uses QGIS algorithms and works only for QGIS 3.16 (and later versions).
In order to use the model, download the model Home Range MCP.model3 first, then open QGIS, go to the Processing options, and select Open an existing model... Navigate to the folder containing the model and DONE!

